黑魔鬼香煙從外包裝(黑魔裝)來講,全黑打扮給人一種很酷的感覺,兩個魔鬼的圖象更讓人想象到從煙里面可以得到的快感。但是吸煙有害健康大家都是知道的,下面和香煙網小編一起看看黑魔鬼香煙評測 香煙內尼古丁評測方法。

在主流煙氣的氣相物中,最主要的有氮、氧、二氧化碳、一氧化碳和氫。這5種氣體約占總氣相物的90%,占總煙氣釋放量的85%左右。除此之外,還有一些其它化學成分。其中最主要的有害成分就是煙堿(尼古丁),焦油,一氧化碳。接下來就讓我們對這幾種有害物質進行評測。
| 類型 :烤煙型 | 焦油量 :10mg | 煙氣煙堿量 :0.8mg | 一氧化碳量 :11mg |
| 煙長:84mm | 過濾嘴長:25mm | 包裝形式:條盒硬盒 | 單盒(包)支數:20 |
| 包裝主色調:黑色 | 包裝副色調:紅色 | 銷售形式:國外進口> | 產品狀態:已上市 |
1,首先我們利用吸氣裝置將煙氣的粒相成分(包括焦油、尼古丁、水)收集于棉花團上,此時棉花局部就變黃變褐了,那就是收集到的總粒相物(見下圖1);
圖1-總粒相物

2,稱量出棉花原本的質量,然后再稱量收集到總粒相物后的棉花質量(見下圖2),用后者的質量減去前者的質量就是一根煙含有的總粒相物質量;
圖2-收集到總粒相物后的棉花質量

3,把變黃變褐的棉花團浸取在鹽酸和水中(見圖3)

圖3-總粒相物(焦油、尼古丁、水)溶解于鹽酸和水中

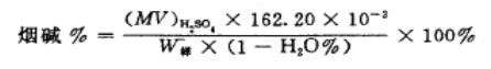
4,以三氯甲烷為萃取劑,為指示劑,用標準硫酸溶液直接滴定尼古丁的方法(操作及顏色變化見圖4)。

圖4-實驗過程圖

硫酸溶液滴進尼古丁出現的分層
通過計算便得知煙堿尼古丁的含量了。通過相關運算即得出以下數據。:(單位mg.)
根據實驗所得數據,按上式進行計算,得的評測結果為:BLACK DEVIL 黑魔鬼女士香煙煙堿含量=0.81mg.歐盟規定出售的香煙,煙堿含量不能高于1毫克

10種香煙尼古丁含量比較圖
以上就是總過煙草網小編為大家整理收集的關于通過尼古丁成分測量實驗,BLACK DEVIL牌女性香煙的尼古丁含量相對比較高。關注健康,與健康同行,常抽的MM們,你們的健康可以已經遭到威脅了,吸煙真的危害很大的。該引起注意了。